鉅大鋰電 | 點擊量:0次 | 2019年03月27日
可調節的離子/電子電導率:西安大略大學孫學良團隊報道高性能鋰-硒硫全固態電池
基于無機固態電解質的全固態鋰電池由于其高安全性和高能量密度被認為是較為先進的儲能系統。然而,此類電池在可逆比容量,循環穩定性和倍率性能等方面仍面臨重大挑戰。這主要是由于電極材料和固態電解質之間的界面離子及電子傳輸速率較低而導致。雖然許多基于硫化物固態電解質具有與液態電解質可比擬的鋰離子傳輸,但與電極材料接觸時,界面離子導電率要低好幾個數量級。因此,開發具有與電解質相容的正極材料以實現具有高鋰離子傳輸的電極/電解質界面,是改善全固態鋰電池性能的關鍵策略之一。
近日,加拿大西安大略大學孫學良教授課題組基于先前工作中具有高電子電導率的硒在全固態電池中的應用(EnergyEnviron.Sci.,2018,11,2828-2832),首次報道了將硒引入到硫中形成具有Se8-nSn八元環結構的SeSx固溶體正極材料在全固態鋰電池中的應用。基于固溶體原理,SeSx固溶體材料的電子電導率可以通過固溶體中Se和S的不同比例來調節。交流阻抗譜測試表明,正極復合材料中,SeSx-Li3PS4(x=3,2,1,和0.33)在室溫下具有10-6S/cm的界面離子電導率。因此,SeSx固溶體正極材料在全固態鋰電池中具有較好的循環穩定性及可逆比容量,組裝的全固態Li-SeS2電池能夠達到12.6mAh/cm2的面容量。相關研究成果以“High‐PerformanceLi–SeSxAll‐Solid‐StateLithiumBatteries”為題發表在國際頂級期刊Adv.Mater.上。
【核心內容】

圖1.(a)S8,(b)Se2S6八元環的電子態密度分布。(c)Se2S6八元環的不同位置斷鍵及鋰化的DFT計算。橘黃色、黃色、紫色分別為Se,S,Li。(d)商業Se,S單質及合成的SeS2的XRD譜圖。(e)Se2.57S5.43的結構。(f)合成的Se2S6,SeS2,Se4S4,Se6S2的Raman譜圖。
第一性原理計算表明,1)在Se8-nSn八元環中的S原子相比于S8八元環中的S原子可以得到更多的電子態密度,因此使得SeSx固溶體材料具有一定程度的電子導電性;2)Se8-nSn八元環共有30中可能的原子排列,并在SeSx固溶體中共存,且部分含有Se-Se鍵的Se8-nSn八元環具有較低的能量,表明Se原子在Se8-nSn八元環中優先聚集;3)SeSx固溶體中S-S,S-Se,Se-Se鍵的斷裂及鋰化能量不同,表明可能對應于多步驟的鋰化過程;4)部分Se8-nSn八元環比Se8八元環和S8八元環具有較低的能量,表明重新去鋰化過程中這些Se8-nSn八元環再次形成的可能性。

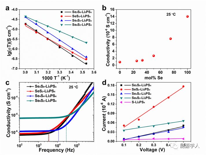
圖2.(a)SeSx-LPS復合材料的阿倫尼烏斯離子電導率。(b)室溫下,SeSx-LPS復合材料的離子電導率隨Se含量的變化。(c)室溫下,SeSx-LPS復合材料在阻抗測試中的實部變化。(d)室溫下,SeSx-LPS復合材料在不同電壓下的電流響應。
交流阻抗測試表明,所制備的SeSx固溶體與商業Li3PS4(LPS)混合后的SeSx-LPS具有10-6S/cm的離子電導率,并隨SeSx固溶體中Se含量的增加而增加;直流偏壓測試結果表明,SeSx-LPS復合材料的電子導電率高于相同比例的S-LPS,其中SeS2-LPS的電子導電率最高。

圖3.SeSx-LPS-C正極材料在25℃下的電化學性能。(a-d)50mA/g電流密度下,SeSx-LPS-C正極材料的充放電曲線,(e-g)50mA/g電流密度下,SeSx-LPS-C正極材料的循環性能及庫倫效率。
25℃下的SeSx-LPS-C正極材料的充放電曲線僅表現較為明顯的單一的充放電平臺,而并沒有表現出理論計算預測的三個不同鋰化過程,可能是由于遲滯的電化學反應動力因素而導致。

圖4.SeSx-LPS-C正極材料在60℃下的電化學性能。(a-d)30mA/g電流密度下,相應的GITT曲線,(e)400mA/g電流密度下,相應的循環性能,(f)不同電流密度下的倍率性能。
60℃下的SeSx-LPS-C正極材料的展現出明顯的三個放電平臺,與理論計算結果一致。同時,SeSx-LPS-C正極材料表現出優異的循環穩定性及倍率性能。

圖5.SeS2-LPS-C正極材料在60℃下的不同負載量的電化學性能。SeS2活性組分負載量分別為(a)10.2和(b)15.3mg/cm2的充放電曲線,(c)SeS2活性組分負載量為15.3mg/cm2的循環性能,(d)本工作與其他文獻報道的全固態鋰硫(硒)電池性能比較。
60℃下,即使SeS2活性組分負載量為10.2,15.3mg/cm2,組裝的SeS2-LPS-C/LGPS-LPS/Li全固態電池仍的展現出明顯的三個放電平臺,且面比容量能達到12.6mAh/cm2,遠高于文獻報道。
下一篇:探討機架式UPS+電池包的組合










